350vip8888新葡的京集团
项目介绍
350vip8888新葡的京集团简介
项目简介
MBA教育中心组织结构图
MBA项目简介
培养方案
师资队伍
外聘导师
新闻聚焦
MBA新闻
日常通知
重要提示
学术论坛
往期回顾
招生录取
招生简章
招生信息
常见问题
教学培养
课程设置
最新课表
教学实践
国际交流交换
学位管理
全日制
非全日制
MBA风采
学生活动
MBA联合会
校友会
人物故事
职业发展
招聘指南
招聘信息
简历中心
职业规划
下载中心
文件汇编
教务管理
学籍管理
教学管理
学位管理
课件下载
为您服务
联系方式
投稿指南
贵州旅游介绍
服务指南
350vip8888新葡的京集团首页
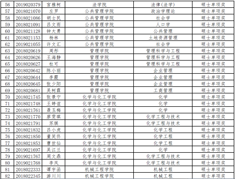
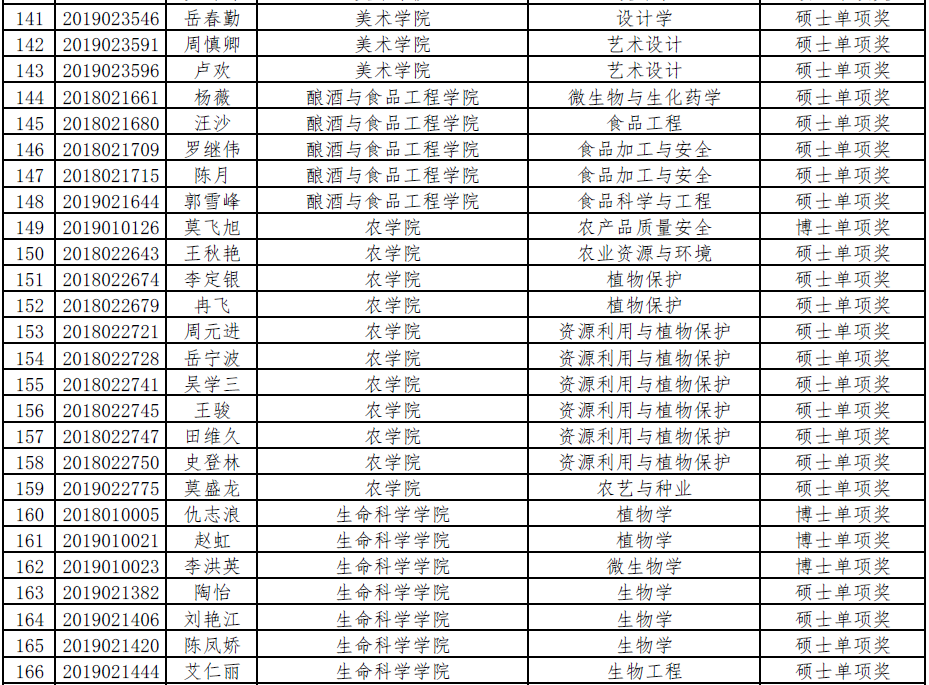
350vip8888新葡的京集团2019-2020学年单项奖学金初评公示名单
发布时间:
2020-12-09
浏览次数:
1463
Copyright 2009-2010 350vip8888新葡的京集团版权所有 All rights Reserved
地址:贵州省贵阳市花溪区 邮编:550025 电话:0851-8292178 传真:0851-3621956 Email:po@gzu.edu.cn
备案序号:黔ICP证201008207800号